БИОХИМИЯ

ОБЩИЕ МЕТОДИЧЕСКИЕ УКАЗАНИЯ
ТЕМА 1. ВВЕДЕНИЕ. ПРЕДМЕТ БИОХ...
   1. Отличия живой природы от...
   2. Основные разделы биохими...
   3. КОНТРОЛЬНЫЕ ВОПРОСЫ И ЗА...
ТЕМА 1А. ХИМИЧЕСКИЙ СОСТАВ ОРГ...
   1. Химический состав живых ...
   2. Виды химических связей
      2.1. Ковалентные связи
      2.2. Дисульфидные связи
      2.3. Ионная связь
      2.4. Водородная связь
      2.5. Гидрофобные взаимод...
      2.6. Ван-дер-ваальсовые ...
   3. Классификация органическ...
      3.1. Функциональная груп...
   4. Структурная иерархия в м...
   5. КОНТРОЛЬНЫЕ ВОПРОСЫ И ЗА...
ТЕМА 2. УГЛЕВОДЫ
   1. Биологическая роль углев...
   2. Классификация углеводов
      2.1. Моносахариды
         2.1.1. Глюкоза и фрук...
         2.1.2. Циклическая фо...
         2.1.3. Аминосахара
         2.1.4. Рибоза и дезок...
         2.1.5. Глицериновый а...
      2.2. Олигосахариды
         2.2.1. Сахароза
         2.2.2. Мальтоза
         2.2.3. Лактоза
      2.3. Полисахариды
         2.3.1. Гомополисахари...
         2.3.2. Гетерополисаха...
   3. Норма углеводов в питани...
   4. Переваривание углеводов ...
      4.1. Регуляция уровня гл...
   5. КОНТРОЛЬНЫЕ ВОПРОСЫ И ЗА...
Тема 3. ЛИПИДЫ
   1. Биологическая роль липид...
   2. Классификация жиров
      2.1. Простые жиры
         2.1.1. Глицериды (ней...
         2.1.2. Воска
      2.2. Сложные жиры
         2.2.1. Фосфолипиды
         2.2.2. Кликолипиды
         2.2.3. Стероиды
   3. Переваривание жиров в же...
   4. Основные виды патологии ...
   5. Норма жиров в питании, о...
   6. КОНТРОЛЬНЫЕ ВОПРОСЫ И ЗА...
ТЕМА 4. БЕЛКИ
   1. СТРОЕНИЕ БЕЛКОВ
   2. БИОЛОГИЧЕСКИЕ ФУНКЦИИ БЕ...
   3. КЛАССИФИКАЦИЯ БЕЛКОВ
      3.1. ПРОСТЫЕ БЕЛКИ
         3.1.1. Глобулярные бе...
         3.1.2. Фибриллярные р...
         3.1.3. Фибриллярные н...
      3.2. СЛОЖНЫЕ БЕЛКИ
         3.2.1. Фосфопротеиды
         3.2.2. Нуклеопротеиды
         3.2.3. Хромопротеиды
         3.2.4. Гликопротеиды
         3.2.5. Металлопротеид...
         3.2.6. Липопротеиды
   4. СТРОЕНИЕ И ФУНКЦИИ АМИНО...
      4.1. Классификация амино...
   5. УРОВНИ ОРГАНИЗАЦИИ БЕЛКО...
      5.1. Первичная структура
      5.2. Вторичная структура
      5.3. Третичная структура
      5.4. Четвертичная структ...
   6. ДЕНАТУРАЦИЯ БЕЛКОВ
   7. ПЕРЕВАРИВАНИЕ БЕЛКОВ В Ж...
   8. БЕЛКОВОЕ ПИТАНИЕ
   9. КОНТРОЛЬНЫЕ ВОПРОСЫ И ЗА...
ТЕМА 5. БИОКАТАЛИЗ
ТЕМА 5А. ФЕРМЕНТЫ
   1. ОБЩИЕ ПРЕДСТАВЛЕНИЯ И БИ...
      1.1. Отличие ферментов о...
   2. ХИМИЧЕСКАЯ КИНЕТИКА
   3. СТРОЕНИЕ ФЕРМЕНТОВ
   4. МЕХАНИЗМ ДЕЙСТВИЯ ФЕРМЕН...
   5. АКТИВАТОРЫ И ИНГИБИТОРЫ
      5.1. Активаторы
      5.2. Ингибиторы
   6. СВОЙСТВА ФЕРМЕНТОВ
      6.1. Термолабильность
      6.2. Зависимость скорост...
      6.3. Зависимость активно...
      6.4. Специфичность
         6.4.1. Абсолютная спе...
         6.4.2. Относительная ...
   7. НОМЕНКЛАТУРА ФЕРМЕНТОВ
   8. КЛАСИФИКАЦИЯ ФЕРМЕНТОВ И...
      I. Оксидоредуктазы
      II. Трансферазы
      III. Гидролазы
      IV. Лиазы
      V. Изомеразы
      VI. Лигазы
   9. ЛОКАЛИЗАЦИЯ ФЕРМЕНТОВ В ...
   10. КОНТРОЛЬНЫЕ ВОПРОСЫ
ТЕМА 5Б. ВИТАМИНЫ
   1. ОБЩИЕ ПРЕДСТАВЛЕНИЯ И БИ...
      1.1. Основные признаки в...
      1.2. Причины истощения з...
   2. КЛАССИФИКАЦИЯ ВИТАМИНОВ
      2.1. Водорастворимые вит...
      2.2. Жирорастворимые вит...
   3. БИОЛОГИЧЕСКАЯ РОЛЬ
   4. Контрольные вопросы

5.1. Первичная структура

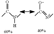
Синтез белка происходит на рибосомах в виде первичной структуры, т.е. расположенных в определенном количестве и определенной последовательности аминокислот, соединенных пептидными связями, образованными карбоксильной и α-аминогруппами соседних аминокислотных остатков (Рис. 4.). Пептидная связь - жесткая, ковалентная, генетически детерминированная.В структурных формулах изображается в виде одинарной связи: ,однако на самом деле эта связь между углеродом и азотом носит характер частично двойной связи:

Вокруг нее вращение невозможно и все четыре атома лежат в одной плоскости, т.е. компланарны. Вращение же других связей вокруг полипептидного остова достаточно свободно.

Первичная структура открыта в 1898 году профессором казанского университета Данилевским. В 1913 году Эмилем Фишером были синтезированы первые пептиды.

Такая последовательность аминокислот является уникальной для каждого белка и закреплена генетически. При нарушении процесса синтеза первичной структуры белка на рибосоме могут развиваться различные гететические заболевания. Например, при нарушении двух аминокислот в гемоглобине развивается серповидноклеточная анемия.

Биолого-химический факультет УдГУ
Кафедра анатомии физиологии человека и животных
c 2003 к.б.н. Мадера Е.А.

Powered by swift.engine.edu
c 2003 MITTEC