Элементарная боровская теория водородного атома
Бор предположил, что из всех возможных орбит электрона осуществляются только те, для которых момент импульса равен целому кратному постоянной Планка
, деленной па ![]()
![]()



Число п называется главным квантов ы м ч и с-лом. Постоянная
имеет значение (53.2).
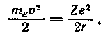
Рассмотрим электрон, движущийся в поле атомного ядра с зарядом
. При
такая система соответ-
ствует атому водорода, при иных Z — водородоподоб-ному иону, т. е. атому с порядковым номером Z, из которого удалены все электроны, кроме одного. Согласно второму закону Ньютона произведение массы электрона те на его центростремительное ускорение
должно равняться кулоновской силе:
Исключая
из (63.1) и (63.2), получаем, что радиус электронных орбит в атоме может принимать лишь ряд дискретных значении:
Для первой орбиты водородного атома (
,)
получается величина порядка газокинетических размеров атома.







![]()
Внутренняя энергия атома слагается из кинетической энергии электрона (ядро неподвижно) и энергии взаимодействия электрона с ядром (потенциальной энергии):
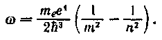
При переходе атома водорода (Z = 1) из состояния п в состояние т испускается квант
Частота испущенного света равна
Таким образом, мы пришли к обобщенной формуле Бальмера (59.7), причем для постоянной Ридберга получается значение:
Если подставить в это выражение значения входящих в него констант, получается величина, поразительно хорошо согласующаяся с экспериментальным значением постоянной Ридберга.
Итак, совпадение выводов теории Бора с опытными данными для водорода не оставляет желать лучшего. Теория Бора была весьма крупным шагом в развитии
теории атома. Она с полной отчетливостью показала неприменимость классической физики к внутриатомным явлениям и главенствующее значение квантовых законов в микромире.
Изложенная выше элементарная теория была в течение последующего десятилетия подвергнута дальней-. шему развитию и уточнениям, с которыми мы не станем знакомиться, поскольку в настоящее время теория Бора имеет преимущественно историческое значение. После первых успехов теории все яснее давали себя знать ее недочеты. Особенно тягостной была неудача всех попыток построения теории атома гелия — одного из простейших атомов, непосредственно следующего за атомом водорода.
Самой слабой стороной теории Бора, обусловившей последующие неудачи, была ее внутренняя логическая противоречивость: она не была ни последовательно классической, ни последовательно квантовой теорией. В на-стоящее время, после открытия своеобразных волновых свойств вещества, совершенно ясно, что теория Бора, опирающаяся на классическую механику, могла быть только переходным этапом на пути к созданию последовательной теории атомных явлений.