Опыты по рассеянию а-частиц. Ядерная модель атома
Для того чтобы выяснить характер распределения положительных и отрицательных зарядов в атоме, было необходимо непосредственное опытное «зондирование» внутренних областей атома. Такое зондирование осуществили Резерфорд и его сотрудники с помощью а-ча-стиц, наблюдая изменение направления их полета (рассеяние) при прохождении через тонкие слои вещества.
Напомним, что а-частицами называют частицы, выбрасываемые с огромной скоростью некоторыми веществами при радиоактивном распаде. В то время, когда Резерфорд приступал к своим опытам, было известно, что а-частицы имеют положительный заряд, равный удвоенному элементарному заряду, и что при потере этого заряда (при присоединении двух электронов) сс-частица превращается в атом гелия. Скорость, с которой а-частицы вылетают из радиоактивного вещества, бывает порядка 109 см/сек.
Опыт осуществлялся следующим образом (рис. 182). Внутри полости, сделанной в куске свинца, помещалось радиоактивное вещество Р, служившее источником а-ча-стиц. Вследствие сильного торможения в свинце а-части-цы могли выходить наружу лишь через узкое отверстие. На пути получавшегося таким способом узкого пучка а-частиц располагалась тонкая металлическая фольга
. При прохождении через фольгу а-частицы отклонялись от первоначального направления движения на различные углы Ф. Рассеянные а-частицы ударялись об экран
, покрытый сернистым цинком, и вызываемые ими сцинтилляции1) наблюдались в микроскоп М. Микроскоп и экран можно было вращать вокруг оси, проходящей через центр рассеивающей фольги, и устанавливать таким образом под любым углом О. Весь прибор
Рис. 182.
помещался в откачанный кожух, чтобы устранить торможение а-частиц за счет столкновений с молекулами воздуха.
Оказалось, что некоторое количество а-частиц рассеивается на очень большие углы (почти до 180°). Проанализировав результаты опыта, Резерфорд пришел к выводу, что столь сильное отклонение а-частиц возможно только в том случае, если внутри атома имеется чрезвычайно сильное электрическое поле, которое создается зарядом, связанным с большой массой и сконцентрированным в очень малом объеме. Основываясь на этом выводе, Резерфорд предложил в 1911 г. ядерную модель атома. Согласно предположению Резерфорда атом представляет собой систему зарядов, в центре которой расположено тяжелое положительное ядро с зарядом Ze, имеющее размеры, не превышающие 10~12 см} а вокруг ядра расположены Z электронов, распределенных по всему объему, занимаемому атомом. Почти вся масса атома сосредоточена в ядре.
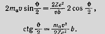
Исходя из таких предположений, Резерфорд разработал количественную теорию рассеяния а-частиц и вывел формулу для распределения рассеянных частиц по значениям угла О. При выводе формулы Резерфорд рассуждал следующим образом. Отклонения а-частиц обусловлены воздействием на них со стороны атомных ядер. Заметного отклонения из-за взаимодействия с электронами не может быть, поскольку масса электрона на четыре порядка меньше массы а-частицы. Когда частица пролетает вблизи ядра, на нее действует кулонов-екая сила отталкивания:
Траектория частицы в этом случае представляет собой гиперболу, асимптоты которой образуют между собой угол О (рис. 183, а). Этот угол характеризует отклонение частицы от первоначального направления. Расстояние Ь от ядра до первоначального направления полета а-частицы называется прицельным параметром. Чем ближе пролетает частица от ядра (чем меньше Ь), тем, естественно, сильнее она отклоняется (тем больше Ф). Между величинами Ь и О имеется простое соотношение, которое мы сейчас установим.
(61.1)
Из закона сохранения энергии следует, что вдали от ядра величина импульса
рассеянной частицы будет такой же, как и величина импульса
до рассеяния: р = ро- Следовательно (см. рис. 183,6), для модуля приращения вектора импульса частицы, возникающего в результате рассеяния, можно написать выражение:
где
—масса
-частицы,
—се начальная скорость.


Рис. 183
.![]()



С другой стороны, согласно второму закону Ньютона
где fn — проекция силы (61.1) на направление вектора
(см. рис. 183,а), равная
. Как видно из рис. 183, а
и б, угол
можно заменить через полярный угол
и угол отклонения
:
Из последнего соотношения следует, что
Подставим это выражение в формулу (61.3), заменив одновременно dt через ![]()
Величина
есть не что иное, как момент им-
пульса а-частицы М, взятый относительно рассеивающего ядра. Сила, действующая на а-частицу, является центральной. Поэтому момент М остается все время постоянным и равным своему первоначальному значению
.
После замены
через
интеграл (61.4) легко вычисляется:




Из сопоставления последнего выражения с формулой (61.2) вытекает, что
откуда 1)
Рассмотрим слой рассеивающего вещества настолько тонкий, чтобы каждая частица при прохождении через
него пролетала вблизи только одного ядра, т. е. чтобы каждая частица претерпевала только однократное рассеяние. Для того чтобы испытать рассеяние на угол, лежащий в пределах от
до
, части-
ца должна пролететь вблизи одного из ядер по траектории, прицельный параметр которой заключен в пределах от
до
(рис. 184), причем
и
, как следует из (61.5), связаны соотношением:
Знак минус в этом выражении обусловлен тем, что с увеличением
угол отклонения убывает

Рис. 184.
В дальнейшем нас будет интересовать лишь абсолютное значение
в функции от
и
, поэтому знак минус мы не будем учитывать.
Обозначим площадь поперечного сечения пучка а-ча-стиц буквой S. Тогда количество атомов рассеивающей фольги на пути пучка можно представить в виде nSd, где п — число атомов в единице объема, a d — толщина фольги. Если а-частицы распределены равномерно по сечению пучка и число их очень велико (что имеет место на самом деле), то относительное количество а-ча-стиц, пролетающих вблизи одного из ядер по траектории с прицельным параметром от b до
+
(и, следовательно, отклоняющихся в пределах углов от
до
+
), будет равно (см. рис. 185):




В этом выражении
— число
частиц, рассеянных в пределах углов от
до
, N — пол-
ное число частиц в пучке. В обоих случаях под числом частиц подразумевается поток частиц через соответствующую поверхность.
Заменив в формуле (61.7) b и db через
и
в соответствии с (61.5) и (61.6), получим:
Преобразуем множители, содержащие угол
:
С учетом этого преобразования
Наконец, замечая, что
есть телесный угол
dQ, в пределах которого заключены направления,
Рис. 185.
соответствующие углам от
до
, можно написать:
Последнее выражение называется ф о р м у л о й Р е-зерфорда для рассеяния а-частиц. В 1913 г. сотрудники Резерфорда произвели проверку этой формулы путем подсчета сцинтилляций, наблюдавшихся под разными углами
за одинаковые промежутки времени. В условиях опыта (см. рис. 182) счету подвергались ос-частицы, заключенные в пределах одного и того же телесного угла (определявшегося площадью экрана Е и расстоянием его от фольги), поэтому число сцинтилляций, наблюдавшихся под разными углами, должно было быть, в соответствии с формулой Резерфорда, пропорционально
. Этот результат теории хорошо подтвердился на опыте. Зависимость рассеяния от толщины фольги и скорости а-частиц также оказалась в соответствии с формулой (61.8).
Справедливость теории, исходящей из кулоповского взаимодействия между а-частицеп и ядром атома, свидетельствует о том, что даже отбрасываемая в обратном направлении а-часгица не проникает в область положительного заряда атома (как мы видели при рассмотрении модели атома Томсона, взаимодействие в этом случае определялось бы не законом
, а соответ-
ствовало бы закону
). Вместе с тем, летящая
точно по направлению к ядру ot-частица подошла бы к его центру на расстояние, которое можно определить, приравняв кинетическую энергию ос-частицы потенциальной энергии взаимодействия ct-частицы с ядром в момент полной остановки частицы:
(
— минимальное расстояние между центрами ос-частицы и ядра). Положив![]()
, получим
(61.8)



Таким образом, результаты опытов по рассеянию
-частиц свидетельствуют в пользу ядерной модели атома, предложенной Резерфордом. Однако ядерная модель оказалась в противоречии с законами классической механики и электродинамики. Поскольку система неподвижных зарядов не может находиться в устойчивом состоянии, Резерфорду пришлось отказаться от статической модели атома и предположить, что электроны движутся вокруг ядра, описывая замкнутые траектории. Но в этом случае электрон будет двигаться с ускорением, в связи с чем, согласно крассической электродинамике, он должен непрерывно излучать электромагнитные (световые) волны. Процесс излучения сопровождается потерей энергии, так что электрон должен в конечном счете упасть на ядро (рис. 186).